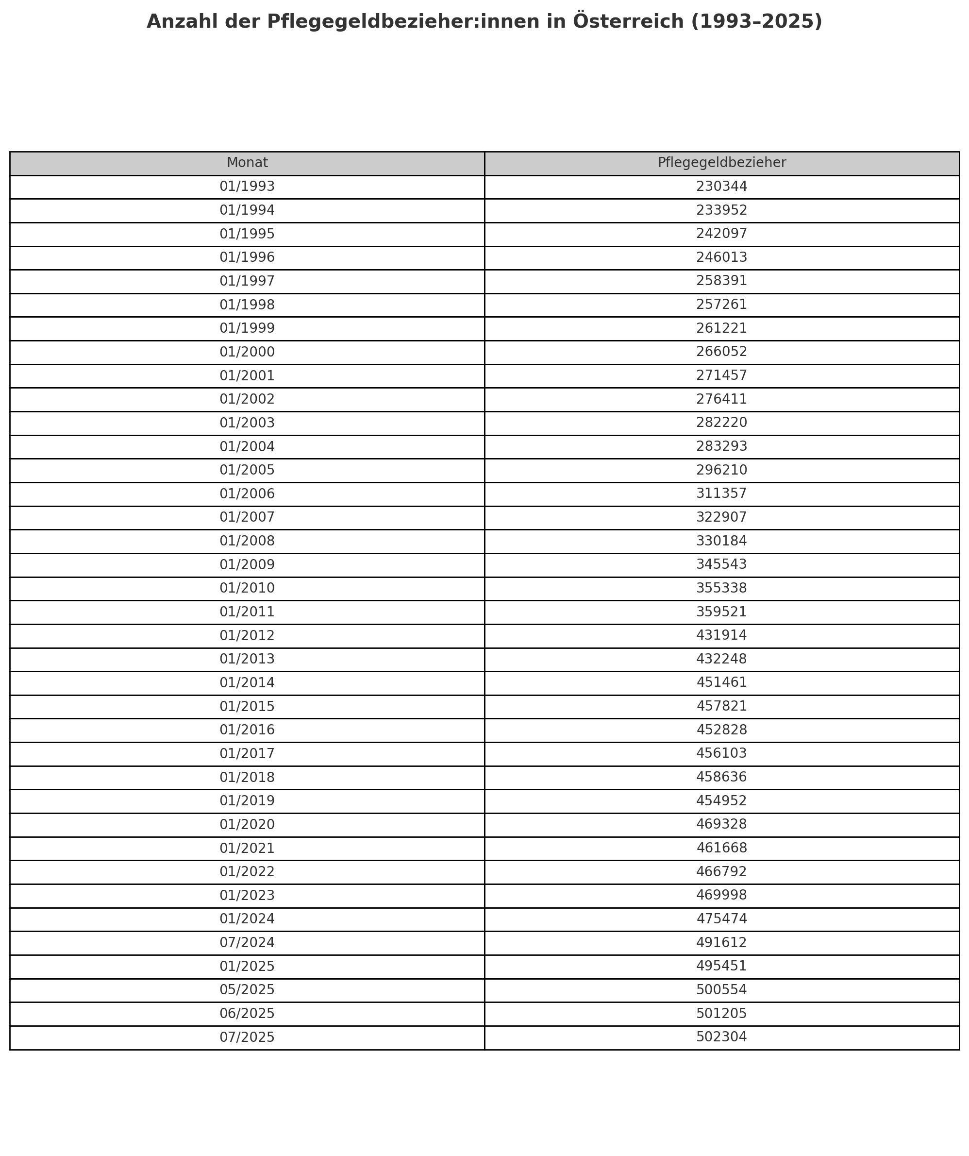
Pflegegeld: Erstmals über 502.000 Bezieher:innen in Österreich

Die Zahl der Pflegegeldbezieher in Österreich ist auch im Juli weiter gestiegen. Wie aus aktuellen Zahlen des Sozialministeriums hervorgeht, erhielten mit Stand Juli 502.304 Personen die monatliche Leistung. Damit wurde die im Mai erstmals überschrittene 500.000er-Marke weiter ausgebaut.
- Mai 2025: 500.554
- Juni 2025: 501.205
- Juli 2025: 502.304
Im Vergleich zum Vormonat Juni entspricht das einem Zuwachs von 1.099 Personen bzw. +0,22 Prozent. Im Jahresvergleich zum Juli 2024 ergibt sich ein Plus von 2,17 Prozent bzw. 10.692 Personen.
Pflegebedarf: Großteil in niedrigen Stufen
Zur Verteilung der Pflegegeldstufen lagen zuletzt Daten für April vor. Demnach verteilen sich die Bezieher:innen wie folgt:
- Stufe 1 (ab 65 Stunden/Monat): 29,2 %
- Stufe 2: 20,5 %
- Stufe 3: 18,8 %
- Stufe 4: 14,5 %
- Stufe 5: 11,2 %
- Stufe 6: 4,2 %
- Stufe 7 (höchster Bedarf): 1,7 %
Die Pflegestufen orientieren sich an einem festgelegten monatlichen Pflegebedarf in Stunden sowie bei höheren Stufen an weiteren medizinischen Voraussetzungen.

Mehrheit der Bezieherinnen ist weiblich
Ein weiterer Blick in die Statistik zeigt, dass der Großteil der Pflegegeldbeziehenden Frauen sind. Im Mai 2025 waren 61,2 Prozent weiblich (307.303 Personen), 38,8 Prozent männlich (195.001 Personen).

Sozialministerium: Demografie und Lebenserwartung als Treiber
Laut Sozialministerin Korinna Schumann (SPÖ) ist der kontinuierliche Anstieg auf den demografischen Wandel und die steigende Lebenserwartung zurückzuführen. Schon im Mai erklärte sie, dass sich diese Entwicklung auch in der Zahl der Pflegegeldanträge niederschlage.
Trotz angespannter Haushaltslage sei die jährliche Valorisierung des Pflegegelds nach dem gesetzlichen Anpassungsfaktor weiterhin gesichert, betonte das Ministerium.

(VOL.AT/APA)
Du hast einen Hinweis für uns? Oder einen Insider-Tipp, was bei dir in der Gegend gerade passiert? Dann melde dich bei uns, damit wir darüber berichten können.
Wir gehen allen Hinweisen nach, die wir erhalten. Und damit wir schon einen Vorgeschmack und einen guten Überblick bekommen, freuen wir uns über Fotos, Videos oder Texte. Einfach das Formular unten ausfüllen und schon landet dein Tipp bei uns in der Redaktion.
Alternativ kannst du uns direkt über WhatsApp kontaktieren: Zum WhatsApp Chat
Herzlichen Dank für deine Zusendung.